Desafio Académico 12.
Este desafio nos mostro una forma mas eficas de aprender a resolver diagramas de flujo y algoritmos; te presento el informe de este tabajo desde mi site.
Desafio Académico 13.
Este desafio fue un poco mas complicado; ya que, tenemos que ver unos vides relacionados con la proporcion aúrea para poder resolverlos, decubre como desde mi Site.
Desafio Academico 14.
Tomando en cuenta los distintos lenguajes de programacion; hemos realizado la comnparacion de ellos en un cuadro resumen, te invito a verlo.
sábado, 19 de junio de 2010
Parcial Final de Lógica Computacional
Es una manera de expresar los conocimientos adquiridos durante estos meses en la Clase de Lógica Computacional, asi que, aqui comparto con ustedes mis conocimientos.
Atte.
Elyonai Rivera
domingo, 9 de mayo de 2010
DESAFIOS ACADEMICOS 11
Elaborar un Algoritmo y un Flujograma para resolver ecuaciones liniales con tres incognitas.



Solución a las ecuaciones con el metodo de Sarus:
Solución a la ecuación n° 1
Solución a la ecuación n° 2
Solución a la ecuación n° 3



Solución a las ecuaciones con el metodo de Sarus:
Solución a la ecuación n° 1
Solución a la ecuación n° 2
Solución a la ecuación n° 3
Un cliente de un supermercado ha pagado un total de US$ 156 por 24 litros de leche, 6 kg de jamón serrano y 12 litros de aceite de oliva. Calcular el precio de cada artículo, sabiendo que 1 litro de aceite cuesta el triple que 1 litro de leche y que 1 kg de jamón cuesta igual que 4 litros de aceite más 4 litros de leche.
L = litros de leche
J = jamon serrano
A = aceite de oliva
Sustituimos en las ecuaciones ya creadas:
Por lo tanto los litros de leche valen $1.00 c/u, el aceite vale $3.00 lt, el jamón vale $16.00 el Kilo.
sábado, 8 de mayo de 2010
Parcial 2 de Lógica Computacional
Elabora un algoritmo y Flujograma que determine el impuesto de la renta, si se sabe que:
Sueldo Renta
0.01 hasta 200 No paga
200.01 hasta 400 5 + 10% del Exceso de 200
400.01 hasta 600 10 + 20% del exceso de 400
600.01 hasta 1000 50 + 30% del exceso de 600
1000.01 en adelante 100 + 35% del exceso de 1000
Resultado:
Algoritmo y Diagrama de Flujo
Sueldo Renta
0.01 hasta 200 No paga
200.01 hasta 400 5 + 10% del Exceso de 200
400.01 hasta 600 10 + 20% del exceso de 400
600.01 hasta 1000 50 + 30% del exceso de 600
1000.01 en adelante 100 + 35% del exceso de 1000
Resultado:
Algoritmo y Diagrama de Flujo
sábado, 17 de abril de 2010
DASAFIOS ACADEMICOS 10
Desafio Académico No. 10.
Elabora un algoritmo y un flujograma, utilizando la regla de Cramer,para solucionar el siguiente problema:
Problema: En una granja hay conejos y patos. Si entre todos suman 18 cabezas y 52 patas, ¿cuántos conejos y patos hay?
Sistemas de dos ecuaciones con dos incógnitas;
Información necesaria:
Consiste en despejar en una de las ecuaciones una incógnita. Posteriormente se sustituye su valor en la otra y se calcula. Finalmente se vuelve a la ecuación despajada para hallar el valor de la incógnita que queda.
Se despeja la misma variable en las dos ecuaciones. Se igualan sus valores y se obtiene el valor de una variable, luego se sustituye en una de las ecuaciones despejadas y se halla el valor de la otra.
Consiste en multiplicar una o las dos ecuaciones por números convenientes de tal forma que al "sumar" luego las ecuaciones se vaya una de las variables. Así se puede obtener el valor de la otra. Una vez obtenido,volvemos a una de las ecuaciones originales y en ella calculamos la variable que nos queda.
RESOLUCION DEL PROBLEMA.
X = Conejos Y = Patos
Para obtener cuantas cabezas resulta esta ecuacion:
X + Y = 18
Para obtener cuantas patas resulta esta ecuacion:
4X + 2Y = 52
Despejamos Incógnita:
X = 18 - Y
Sustituimos las Ecuaciones obtenidas en la segunda ecuación:
4(18 - Y) + 2Y = 52 X = 18 - 10 X = 18 - Y
Sustituimos las Ecuaciones obtenidas en la segunda ecuación:
72 - 4Y + 2Y = 52 X = 8
72 - 2Y = 52
2Y = 72 - 52
Y = 20/2
Y = 10
Solución:
Conejos = 8 Patos = 10
X + Y = 8(Conejos) + 10(Patos) = 18(Cabezas)
4X + 2Y = 4(8)Patas de conejo + 2(10)Patas de pato = 52(Patas)
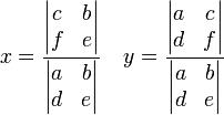
Utilizando la Regla de Cramer, y con las formulas obtenidas anteriormente trabajamos así:
Partiendo de un sistema general de dos ecuaciones con dos incógnitas:
La matriz de los coeficientes de las incógnitas son una tabla de 2*2 en la que se encuentran los coeficientes de las incógnitas, ordenados por filas y columnas. En la primera fila los de la primera ecuación y en la segunda, los de la segunda ecuación. En la primera columna los de la primera incógnita y en la segunda, los de la segunda incógnita.
El coeficiente de una incógnita en una ecuación ocupa una fila y columna determinadas; el cambio en el orden dentro de la matriz supone la modificación del sistema de ecuaciones, las matrices se representan entre paréntesis, como en el ejemplo:
El determinante de una matriz es una operación sobre esa matriz que da como resultado un escalar E, que depende de los términos de la matriz y el lugar donde estén situados
El determinante de una matriz es una operación sobre esa matriz que da como resultado un escalar E, que depende de los términos de la matriz y el lugar donde estén situados
En el caso de una matriz de 2*2, tenemos que el valor del determinante es el producto de los términos de la diagonal principal menos el producto de los de la diagonal secundaria
Esta regla tan sencilla no se cumple en matrices de mayor dimensión y para su calculo hay que tener ciertos conocimientos de álgebra lineal.Partiendo de todo esto tenemos que la Regla de Cramer dice que, en un sistema de ecuaciones lineales, el valor de cada incógnita es la relación que existe entre el determinante de la matriz de los coeficientes de las incógnitas, donde se ha sustituido la columna de la incógnita a resolver por la columna de términos independientes, entre el determinante de la matriz de los coeficientes de las incógnitas.
Así si partimos del sistema:
Tendremos que las incógnitas valdrán:
Si quieres ver el ALGORITMO y EL DIAGRAMA DE FLUJO solicitados al principio del ejercicio solo dale click en el LINK
lunes, 5 de abril de 2010
DESAFIOS ACADEMICOS 8 Y 9
Desafio académico No.8
Considérense las siguientes expresiones :
• " x es más grande que 3" (7, 2, 5, 9, 0, ...)
• " x es médico" (Santiago, Pedro, Luis, Mario, Juan,...)
• " x es el mejor equipo del mundo" (Barcelona, Real Madrid,Valencia,...)
Aspectos importantes previos para resolver los ejercicios.
1. x es una variable la cual indica que el sujeto o término cumple cierta propiedad.
2. El predicado "es más grande que 3", "es médico", “es el mejor equipo del mundo”, se refiere a la propiedad que el sujeto tiene sobre la acción.
3. La expresión no puede considerarse como una proposición puesto que no son ni verdadera ni falsa.
4. x es una variable que toma valores dentro de un conjunto, llamado conjunto dominio (Universo del discurso).
5. Expresiones de esta forma, dadas en términos de una o varias variables, reciben el nombre de Funciones Proposicionales, y se denotan por P(x) o Q(x), ..., etc.
6. Cuando en una Función Proposicional se sustituyen las variables por constantes individuales o términos específicos, se convierte en proposición.
7. Se utilizan las letras x, y, z, w, ...,para denotar las variables.
8. Se pueden tener expresiones que envuelvan más de una variable "x = y + 3", entonces podemos tener expresiones como Q(x,y)
proposicionales por medio de los conectivos.
• " x es más grande que 3" (7, 2, 5, 9, 0, ...)
• " x es médico" (Santiago, Pedro, Luis, Mario, Juan,...)
• " x es el mejor equipo del mundo" (Barcelona, Real Madrid,Valencia,...)
Aspectos importantes previos para resolver los ejercicios.
1. x es una variable la cual indica que el sujeto o término cumple cierta propiedad.
2. El predicado "es más grande que 3", "es médico", “es el mejor equipo del mundo”, se refiere a la propiedad que el sujeto tiene sobre la acción.
3. La expresión no puede considerarse como una proposición puesto que no son ni verdadera ni falsa.
4. x es una variable que toma valores dentro de un conjunto, llamado conjunto dominio (Universo del discurso).
5. Expresiones de esta forma, dadas en términos de una o varias variables, reciben el nombre de Funciones Proposicionales, y se denotan por P(x) o Q(x), ..., etc.
6. Cuando en una Función Proposicional se sustituyen las variables por constantes individuales o términos específicos, se convierte en proposición.
7. Se utilizan las letras x, y, z, w, ...,para denotar las variables.
8. Se pueden tener expresiones que envuelvan más de una variable "x = y + 3", entonces podemos tener expresiones como Q(x,y)
- Q(x, y) : " x = y + 3"
- P(x, y, z) : "x = y + z"
- Una expresión de con n variables x1, x2, ..., xn puede ser denotada por P(x1, x2, x3, ..., xn).
proposicionales por medio de los conectivos.
- Ejemplo: "x es un número racional y z es un número irracional". Se puede simbolizar como:
P(x) : "x es un número racional"
Q(z) : "z es un número racional"
P(x) ® Q(z)
Definición: Un Predicado es una afirmación, proposición, constituido por constantes aritméticas y booleanas (números enteros, reales, y los valores lógicos verdadero y falso), operadores aritméticos, (/,*, +, etc), operadores relacionales (<, >, =, >=, etc), operadores lógicos ( →, ^, V, etc).
Ejercicios 1. Simbolizar las siguientes expresiones:
• Fulano es muy generoso.
P(x)
• x es par y 6 también.
P(x,6)
• x e y son impares.
I(x,y)
• 2 es un número par y primo.
P(2) ^ Q(2)
• x es primo impar menor que 10.
P(x) < 10 ó P(3,5,7) < 10
• x divide a z y w.
P(x) = z/x Q(x) = y/x
P(x) ^ Q(x)
Las expresiones:
Todo hombre es mortal.
Algunos hombres son sabios.
Pueden traducirse respectivamente como:
Para todo x, si x es hombre entonces x es mortal.
Existe un x, tal que x es hombre y x es sabio.
Otros giros utilizados para la expresión "para todo x", son:
Todo x
Cualquiera x
Otros giros utilizados para la expresión "Existe un x" son:
Hay x
Existe x, tal que
Algún x
Algunos x
Que se simbolizan por:
y se llama cuantificador existencial.
Existen tres formas de convertir una función proposicional P(x) en una proposición a saber:
• Haciendo la sustitución de las variables por un término específico.
• Anteponiendo la expresión "para todo x" o cuantificador universal.
• Anteponiendo la expresión "existe al menos un x" o cuantificador existencial.
El enunciado "existe almenos un x tal que P(x)" se representa como:
Definición: Un Predicado es una afirmación, proposición, constituido por constantes aritméticas y booleanas (números enteros, reales, y los valores lógicos verdadero y falso), operadores aritméticos, (/,*, +, etc), operadores relacionales (<, >, =, >=, etc), operadores lógicos ( →, ^, V, etc).
Resuelva :
Ejercicios 1. Simbolizar las siguientes expresiones:
• Fulano es muy generoso.
P(x)
• x es par y 6 también.
P(x,6)
• x e y son impares.
I(x,y)
• 2 es un número par y primo.
P(2) ^ Q(2)
• x es primo impar menor que 10.
P(x) < 10 ó P(3,5,7) < 10
• x divide a z y w.
P(x) = z/x Q(x) = y/x
P(x) ^ Q(x)
Desafio académico No.9
Las expresiones:
Todo hombre es mortal.
Algunos hombres son sabios.
Pueden traducirse respectivamente como:
Para todo x, si x es hombre entonces x es mortal.
Existe un x, tal que x es hombre y x es sabio.
Otros giros utilizados para la expresión "para todo x", son:
Todo x
Cualquiera x
Cada x
Que se simbolizan por:
Otros giros utilizados para la expresión "Existe un x" son:
Hay x
Existe x, tal que
Algún x
Algunos x
Que se simbolizan por:
y se llama cuantificador existencial.
Existen tres formas de convertir una función proposicional P(x) en una proposición a saber:
• Haciendo la sustitución de las variables por un término específico.
• Anteponiendo la expresión "para todo x" o cuantificador universal.
• Anteponiendo la expresión "existe al menos un x" o cuantificador existencial.
$xP(x) (x es ligada al cuantificador)
El enunciado "para todo x, P(x)" se representa como:
"xP(x) (x es ligada al cuantificador)
"xP(x) es verdadera cuando todos los x1, x2,..., xn se cumplan en P(x1) Ù P(x2) Ù ... P(xn) es verdadero.
$xP(x) es verdadero cuando al menos un caso x1, x2,..., xn se cumplan en P(x1) Ú P(x2) Ú... P(xn) es verdadero.
Resuelve:
Ejercicios :
6. Algunas criaturas salvaje no son de Africa.
7. Algunos números negativos no son enteros.
8. Algunos gobiernos no respetan la libertad.
9. Si todo es rojo, hay algo rojo.
Resuelve:
Ejercicios :
1. Algún estudiantes de está clase visitará San Salvador y cada estudiante de esta clase visitará Mejicanos o San Salvador.
2. Todos tenemos exactamente un mejor amigo.
3. Si m es un entero par, entonces m + 7 es impar.
4. Todos los leones son fieras.
5. Algunos leones no toman café. 6. Algunas criaturas salvaje no son de Africa.
7. Algunos números negativos no son enteros.
8. Algunos gobiernos no respetan la libertad.
9. Si todo es rojo, hay algo rojo.
Puedes ver el problema completo desde mi SITE
sábado, 13 de marzo de 2010
NOTA DE PARCIAL 1
LOGICA COMPUTACIONAL
LABORATORIO DEL DIA SABADO 13 DE MARZO DE 2010
O visita mi SITE
https://sites.google.com/a/upedagogica.edu.sv/logica_computacional/NotaElyo.JPG?attredirects=0&d=1
No me deja de sorprender la Tecnología.
Cada día se aprende algo nuevo; y en esta ocasión, descubrí que las fronteras del aprendizaje se han acortado a tal grado que desde cualquier parte del mundo puedo realizar mis evaluaciones de la universidad siempre que tenga acceso a una computadora y a Internet.
EXPECTATIVAS PARA EL FUTURO
Toda persona, tiene como meta "superarse en la vida"; pero que significa eso, tener casa, carro (un auto), estar casado, un buen empleo, un titulo de prestigio, una grado alto de estudio, ¿Que?
En muchos lugares las expectativas para el futuro son tener algo que comer, un poco de ropa para evitar el frío, talvez cartón para poder dormir, etc.
Siempre he considerado que un buen Empresario no es aquel que por su buena administración lleva a ganar miles de dólares a su Empresa; sino, es aquel que genera empleo a las personas que necesitan una oportunidad y no se las dan. Que te parece, conozco tanta gente que no sabe leer ni escribir, victimas de las circunstancias, necesitados de la semilla del saber.
En este momento me encuentro estudiando la carrera de Técnico en Sistemas de Computación, oye, el titulo me va a servir... Sabes, mi padre no esta con nosotros desde que yo tenia 12 años, tuve que estudiar y trabajar desde los 15 años, anduve en muchos empleos como ayudante de albañil, en estructuras metálicas, como ayudante de pintor en una carpintería, encargado de bodega en una librería, etc. Todo ese sacrificio me enseño que, una buena preparación te ayudará en un futuro.
Esto es lo que espero en mi vida, en mi futuro:
• Obtener mi titulo Universitario
• Lograr mi año pedagógico para poder enseñar
• Fundar mi propia academia de Computación
• Sacar de la ignorancia a mi gente, mi pueblo
• Crecer como persona y empresario
• Vivir a lo máximo cada día
• Morir en paz con Dios y mis Hermanos
Todo éxito nesecita un esfuerzo, y tengo todo el resto de mi vida para lograrlo, y poco tiempo para rendirme.
sábado, 27 de febrero de 2010
DESAFIOS ACADEMICOS 6 Y 7
Desafío 6.
Identifica a cada uno de estos personajes que contribuyeron a la lógica. Será fácil si haz elaborado la línea de tiempo. Digita sus nombres en las casillas de abajo.Etapa: Lógica Matemática
Etapa: La ciencia Matemática
Etapa: Formalización de las Matemáticas
Etapa: Revolución digital.
Desafío 7.
Es necesario que te familiarices con estos ejemplos de lógica proposicional. Reflexiona, trata de comprender. Las tablas ASCII y las de Conectivas Lógicas son necesarias que las tengas para explicarlas en clases.
La lógica estudia razonamientos que se requieren a oraciones declarativas, es decir, oraciones de las que tiene sentido preguntarse si son verdaderas (corresponden con los hechos) o falsas (no corresponden con los hechos).
1. Ejercicios de Lógica Proposicional
1.1. Ejercicio 1.1
De los siguientes enunciados, indica cuáles son declarativos. Para aquellos que sí lo sean, definir si son enunciados de acción, de atribución de propiedad o de relación.
1. ¿Cuanto mides? no declarativo
2. Termina el ejercicio número 3 no declarativo
3. El aula es grande. Declarativo. Atribución de propiedad
4. No te creo. Declarativo. Enunciado de acción
5. Oh, dolor! No declarativo
6. La hulla es el reverso de la nieve. Declarativo. Relación
7. Es falso que el aula sea grande. Declarativo. Atribución de propiedades
1.2. Ejercicio 1.2
Describir, mediante lógica proposicional, las siguientes proposiciones:
1. Tengo fiebre
p, siendo:
p: ocurre que tengo fiebre2. O eres listo o eres listo
(p v q), siendo:
p: ocurre que eres listo3. A pesar de que eres informático, me rio
(p ^ q), siendo:
p: ocurre que eres informático
q: ocurre que me rio
4. Que n sea primo y mayor que 2 es suficiente para afirmar que n es impar.
((p ^ q) → r), siendo:
p: n es primo
q: n es mayor que 2
r: r es impar
5. Si no estas listo a las 8 no iremos al cine y me ire con mis amigos. Y por culpa de esto, me diras que
((p ^ q) → r), siendo:
p: n es primo
q: n es mayor que 2
r: r es impar
5. Si no estas listo a las 8 no iremos al cine y me ire con mis amigos. Y por culpa de esto, me diras que
siempre estoy de juerga.
(¬p → ((¬q ^ r)) ^ ((¬q ^ r)→ s), siendo:
p: estaras listo a las 8
q: iremos al cine
r: me ire con mis amigos
s: me diras que siempre estoy de juerga
1.3. Ejercicio 1.3
Jorge, Carlos y Nestor son sospechosos del robo del banco de america central. Suponemos que \p", \q" y \r" simbolizan respectivamente los enunciados \Jorge es Inocente", \Carlos es inocente" y \Nestor es inocente". Construye las formulas que simbolicen los enunciados siguientes:
1. Hay a lo sumo un inocente
El enunciado se transforma a que siempre hay dos culpables:
(¬p ^ ¬q) v (¬p ^ ¬r)v (¬r ^¬q)
2. Hay a lo sumo un culpable
El enunciado se transforma a que siempre hay 2 inocentes:
(p ^ q) v (p ^ r) v (r ^ q)
3. Si hay un culpable, entonces hay mas de uno
(¬p→ (¬q v¬r)) ^ (¬q→ (¬p v¬r)) ^( ¬r → (¬p v¬q))
4. Hay mas culpables que inocentes
Equivale a \Hay a lo sumo un inocente"
5. Hay mas inocentes que culpables
Equivale a \Hay a lo sumo un culpable"
1.4. Ejercicio 1.4
En un interrogatorio por el robo de un examen, el profesor interroga a los tres estudiantes sospechosos, que le responden como sigue:
Jorge: Ni Nestor ni yo hemos sido
Carlos: Jorge está mintiendo
Nestor: Jorge no es el ladrón
Suponiendo que solo hay un culpable, y que los inocentes dicen la verdad, ¿Se puede deducir cuál de los estudiantes es el ladrón?
Definimos los siguientes proposiciones:
a: Jorge es inocente
h: Nestor es inocente
b: Carlos es inocente
Con estas proposiciones, siguiendo el enunciado se obtienen las siguientes fórmulas:
a → (h ^ a)
b →¬(h ^ a)
h→ a
Y dado que sólo uno de los tres es culpable:
¬a → (h ^ b)
¬h → (a ^ b)
¬b → (a ^ h)
Para saber quién es el inocente, se puede seguir el método del absurdo, que consiste en asumir que uno de ellos es el inocente, y comprobar si esto produce una contradicción. Esto ocurre si asumimos que Carlos es inocente. Si Carlos es inocente, no se cumple que lo sean Nestor y Jorge, por tanto, se cumple que uno de los dos es culpable ¬h v¬a. Por tanto, hay dos posibilidaes. Si Jorge es culpable, tanto Carlos como Nestor serán inocentes, pero esto será una contradicción, puesto que si Nestor es inocente, también lo es Jorge. Si es Nestor culpable, también será una contradicción, puesto que Carlos y Jorge deberán ser inocentes, y entonces Nestor también deberá serlo. De todo esto se deduce que Nestor es culpable y, dado que sólo hay un culpable, tanto Jorge como Carlos son inocentes.
(¬p → ((¬q ^ r)) ^ ((¬q ^ r)→ s), siendo:
p: estaras listo a las 8
q: iremos al cine
r: me ire con mis amigos
s: me diras que siempre estoy de juerga
1.3. Ejercicio 1.3
Jorge, Carlos y Nestor son sospechosos del robo del banco de america central. Suponemos que \p", \q" y \r" simbolizan respectivamente los enunciados \Jorge es Inocente", \Carlos es inocente" y \Nestor es inocente". Construye las formulas que simbolicen los enunciados siguientes:
1. Hay a lo sumo un inocente
El enunciado se transforma a que siempre hay dos culpables:
(¬p ^ ¬q) v (¬p ^ ¬r)v (¬r ^¬q)
2. Hay a lo sumo un culpable
El enunciado se transforma a que siempre hay 2 inocentes:
(p ^ q) v (p ^ r) v (r ^ q)
3. Si hay un culpable, entonces hay mas de uno
(¬p→ (¬q v¬r)) ^ (¬q→ (¬p v¬r)) ^( ¬r → (¬p v¬q))
4. Hay mas culpables que inocentes
Equivale a \Hay a lo sumo un inocente"
5. Hay mas inocentes que culpables
Equivale a \Hay a lo sumo un culpable"
1.4. Ejercicio 1.4
En un interrogatorio por el robo de un examen, el profesor interroga a los tres estudiantes sospechosos, que le responden como sigue:
Jorge: Ni Nestor ni yo hemos sido
Carlos: Jorge está mintiendo
Nestor: Jorge no es el ladrón
Suponiendo que solo hay un culpable, y que los inocentes dicen la verdad, ¿Se puede deducir cuál de los estudiantes es el ladrón?
Definimos los siguientes proposiciones:
a: Jorge es inocente
h: Nestor es inocente
b: Carlos es inocente
Con estas proposiciones, siguiendo el enunciado se obtienen las siguientes fórmulas:
a → (h ^ a)
b →¬(h ^ a)
h→ a
Y dado que sólo uno de los tres es culpable:
¬a → (h ^ b)
¬h → (a ^ b)
¬b → (a ^ h)
Para saber quién es el inocente, se puede seguir el método del absurdo, que consiste en asumir que uno de ellos es el inocente, y comprobar si esto produce una contradicción. Esto ocurre si asumimos que Carlos es inocente. Si Carlos es inocente, no se cumple que lo sean Nestor y Jorge, por tanto, se cumple que uno de los dos es culpable ¬h v¬a. Por tanto, hay dos posibilidaes. Si Jorge es culpable, tanto Carlos como Nestor serán inocentes, pero esto será una contradicción, puesto que si Nestor es inocente, también lo es Jorge. Si es Nestor culpable, también será una contradicción, puesto que Carlos y Jorge deberán ser inocentes, y entonces Nestor también deberá serlo. De todo esto se deduce que Nestor es culpable y, dado que sólo hay un culpable, tanto Jorge como Carlos son inocentes.
sábado, 20 de febrero de 2010
DESAFIOS ACADEMICOS 1, 2, 3, 4 Y 5
DESAFIO 1.
Dialéctica: En general designa un método de conversación o argumentación, esto es, lo que actualmente se llama lógica.
Ambiguo: Incierto, dudoso, que puede admitir distintas interpretaciones.
Argumentar: Razonamiento que se emplea para probar o demostrar una proposición, o bien para convencer a alguien de aquello que se afirma o se niega.
Filosofía: Conjunto de saberes que busca establecer, de manera racional, los principios más generales que organizan y orientan el conocimiento de la realidad, así como el sentido del obrar humano.
Enunciado: Secuencia finita de palabras delimitada por pausas muy marcadas, que puede estar constituida por una o varias oraciones.
Lógica: Ciencia que expone las leyes, modos y formas del conocimiento científico.
Ciencia: Conjunto de conocimientos obtenidos mediante la observación y el razonamiento, sistemáticamente estructurados y de los que se deducen principios y leyes generales.
Axioma: Proposición tan clara y evidente que se admite sin necesidad de demostración.
Teorema: Proposición demostrable lógicamente partiendo de axiomas o de otros teoremas ya demostrados, mediante reglas de inferencia aceptadas.
Deducción: Método por el cual se procede lógicamente de lo universal a lo particular.
Inducción: Método de raciocinio que consiste en alcanzar un principio que se deriva lógicamente de unos datos o hechos particulares.
Inferencia: Sacar una consecuencia o deducir algo de otra cosa.
Argumento: Razonamiento que se emplea para probar o demostrar una proposición, o bien para convencer a alguien de aquello que se afirma o se niega.
Proposición: Expresión de un juicio entre dos términos, sujeto y predicado, que afirma o niega este de aquel, o incluye o excluye el primero respecto del segundo.
Premisa: Cada una de las dos primeras proposiciones del silogismo, de donde se infiere y saca la conclusión.
Predicado: Aquello que se afirma del sujeto en una proposición
Conclusión: Proposición que se pretende probar y que se deduce de las premisas
Silogismo: Argumento que consta de tres proposiciones, la última de las cuales se deduce necesariamente de las otras dos.
DESAFIO 2.
Ante los siguientes enunciados, identifica que son de acuerdo a la RAE. Ejemplo: La línea recta es la distancia más corta entre dos puntos. Es un axioma
1. El 1 es un número natural. Axioma
2. Si n es un número natural, entonces el sucesor de n también es un número natural. Axioma
3. No hay ningún número natural mayor que cero. Axioma
4. Todo número elevado a la cero es igual a uno. Axioma
5. Si a cantidades iguales se les añaden cantidades iguales, las sumas resultantes también son iguales. Axioma
6. El todo es mayor que cualquiera de sus partes. Axioma
7. Si un número termina en cero o en cinco es divisible por cinco. Teorema
8. Si un número divide a otros varios divide también a su suma. Teorema
9. El cuadrado de la hipotenusa es igual a la suma de los cuadrados de los dos catetos. Teorema
10. La mayoría de los profesores de Lógica Computacional son muy estrictos, Jorge es profesor de esta facultad, por lo tanto, probablemente sea muy estricto. Deducción
11. En el comedor todos los jueves dan pescado.Deducción
Hoy es jueves, por consiguiente hoy dan pescado. Deducción
12. El lunes, el martes y el miércoles en la tarde Jorge me brindo un café, en conclusión Jorge todas las tardes me brinda un café. Deducción
13. (N3+5n) es divisible entre seis para cualquier número natural mayor o igual que uno. Inducción
14. Demostrar que la suma de los n primeros números naturales es igual a la suma del último y el primero multiplicada por el número de números sumados y dividido entre dos. Inducción
15. Demostrar que la suma de los cubos de los n primeros números naturales es igual al cuadrado de la suma de los n primeros números naturales. Inducción
16. Cada persona en el mundo ha dado cierta cantidad de apretones de manos. Demostrar que el número de personas que han dado un número impar de apretones de manos es par. Inducción
17. Un joven le dice a un amigo, tu todos los días dices mentiras, y el contesta, no es cierto, ayer en todo el día no dije una sóla mentira. Inferencia
18. Si durante la primera semana el maestro llega 10 minutos tarde, podemos concluir que todo el semestre va a llegar tarde. Inferencia
19. Se sabe que siempre que llueve hay nubes, concluímos que el día de hoy que está lloviendo hay nubes. Inferencia
20. Juan vendrá a la fiesta, o María vendrá a la fiesta. Juan no vendrá a la fiesta María vendrá a la fiesta. Argumento
21. Todos los peces son mamíferos. Moby Dick es un pez. Moby Dick es un mamífero. Argumento
22. Todos los caballos son mamíferos. Todos los caballos son vertebrados. Todos los mamíferos son vertebrados. Argumento
23. Los planetas son redondos, la Tierra es un planeta, por tanto, la Tierra es redonda. Premisa
24. Todos los mamíferos son animales de sangre caliente, todos los humanos son mamíferos, por tanto, todos los humanos son animales de sangre caliente. Premisa.
DESAFIO 3.
Buscar en Wikipedia o en otras páginas de Internet, el significado de:
Ciencia Formal: son aquellas ciencias que establecen el razonamiento lógico y trabajan con ideas creadas por la mente. Esta crea su propio objeto de estudio; su método de trabajo es el lógico inductivo, con todas sus variantes. Las ciencias formales estudian el saber en contraposición a las ciencias factuales que estudian el ser.
Algunos ejemplos de las ciencias formales son: matemáticas, la lógica, ciencias de la computación teórica, etc.
Ciencia Natural: Ciencias naturales, ciencias de la naturaleza, ciencias físico-naturales o ciencias experimentales son aquellas ciencias que tienen por objeto el estudio de la naturaleza siguiendo la modalidad del método científico conocida como método experimental. Estudian los aspectos físicos, y no los aspectos humanos del mundo.
Ley de inferencia: En un cálculo lógico, las reglas de inferencia o reglas de transformación son aquellos esquemas formales que nos permiten derivar unas fórmulas bien formadas (conclusiones) a partir de otras (premisas).
DESAFIO 4
Construcción de Mapa Conceptual de los diferentes tipos de Lógica
DESAFIO 5.
BREVE HISTORIA DE LA LOGICA, LINEA DE TIEMPO.
VISITALO AQUI
VISITALO AQUI
sábado, 13 de febrero de 2010
Análisis Crítico de la Misión y Visión de la Universidad Pedagógica de El Salvador y Normas de Convivencia
Nuestra alma máter; es una formadora de recursos humanos (profesionales), desempeñando la función de proveer de alimento intelectual a los que en ella estamos.
Desempeña uno de los papeles más importantes del país; se trata de dar capacitación al estudiante para enfrentar los nuevos retos que se avecinan en nuestro país; esto con el objetivo de darle herramientas y la capacidad de resolver problemas reales en los diferentes ambientes laborales.
Estamos en la era de la globalización, en donde el ser humano debe estar preparado para enfrentar los diferentes desafíos en el medio en el que vive, ya paso la edad de piedra que el no saber leer era ser analfabeta; ahora no estar informado o no saber de las tecnologías actuales, se refiere a ser analfabeta.
En nuestro país, no existen muchas instituciones que, aparte de la enseñanza, concientizen a la población estudiantil, a ser participativa, solidaria y forjadora de una cultura de paz.
En El Salvador, como en cualquier otro país, habitan diferentes tipos de personas, con diferente nivel académico, económico; de diferentes credos y creencias, tildados en muchas ocasiones por "marginados", "pobres"; la realidad es, como dijo ROQUE DALTON: "Mis compatriotas, mis hermanos".
Un profesional debe saber que la realidad de nuestro país es ésta, hay crisis económica, delincuencia, prostitución, extorsión, etc., etc.; por lo tanto debe de actuar según la realidad en la que vive.
Llegando a una conclusión, podríamos decir que el reto en esta sociedad no es para La Universidad; si no, para el fututo profesional, que al egresar de ella, sea capas de desarrollar todos los conocimientos adquiridos y ponerlos a disposición de la población que lo requiera.
Normas de Convivencia.
A mi parecer, las normas de convivencia nos ayudan a mejorar las relaciones entre los compañeros y comprender mejor la asesoría brindada por nuestros instructores. Por tal razón, sugiero las siguientes:
1. Puntualidad en la hora de entrada.
2. Guardar silencio en clase.
3. Respetar la opinión de los demás.
4. Ser participativos y colaboradores con el Instructor.
5. Apagar o poner en vibrador los celulares.
6. No decir palabras ofensivas.
7. Si tenemos algún problema con un compañero, arreglarlo fuera del salón de clases.
8. Ante todo mantener un ambiente de armonía y convivencia mutua.
Suscribirse a:
Comentarios (Atom)
























